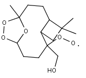
BCSOZNO3
Species information
- Smiles: OCC1(CCC2OOC(C)(CCC3C1CC3(C)C)O2)O[N+](=O)[O-]
- InChI: InChI=1S/C15H25NO7/c1-13(2)8-11-10(13)4-6-14(3)20-12(21-23-14)5-7-15(11,9-17)22-16(18)19/h10-12,17H,4-9H2,1-3H3
- Mass: 331.3615
- Synonyms:
- External links: Google, ChemSpider, PubChem, NIST WebBook, IUPAC, ChEBI
BCSOZNO3
BCKSOZ
HCHO
BCSOZO2