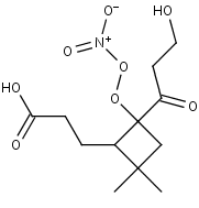
C1212O2
Species information
- Smiles: OCCC(=O)C1(O[O])CC(C)(C)C1CCC(=O)O
- InChI: InChI=1S/C12H19O6/c1-11(2)7-12(18-17,9(14)5-6-13)8(11)3-4-10(15)16/h8,13H,3-7H2,1-2H3,(H,15,16)
- Mass: 259.2757
- Synonyms:
- External links: Google, ChemSpider, PubChem, NIST WebBook, IUPAC, ChEBI
Reactions
C1212O2
+
NO
C1212O2
+
NO
C1212O2
+
NO3
C1212O2
+
HO2
C1212O2
C1212O2
Precursors
C1212O2
C1212O2
+
HO2
C1212O2
C1212O2
C1212O
C1212NO3
C1212OOH
C1212OH
C1211O
C1211CO