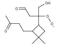
C144O
Species information
- Smiles: O=CCC([O])(CO)C1CC(C)(C)C1CCC(=O)C
- InChI: InChI=1S/C14H23O4/c1-10(17)4-5-11-12(8-13(11,2)3)14(18,9-16)6-7-15/h7,11-12,16H,4-6,8-9H2,1-3H3
- Mass: 255.33
- Synonyms:
- External links: Google, ChemSpider, PubChem, NIST WebBook, IUPAC, ChEBI
Reactions
Precursors
C144O
+
HO2
C144O
+
NO2
C144O
+
NO2
C144O
C144O
+
OH
C131CO
HCHO
C141CO
C144O2
C144OOH