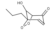
C7DCCO3
Species information
- Smiles: CCCC(=O)C=CC(=O)O[O]
- InChI: InChI=1S/C7H9O4/c1-2-3-6(8)4-5-7(9)11-10/h4-5H,2-3H2,1H3
- Mass: 157.144
- Synonyms:
- External links: Google, ChemSpider, PubChem, NIST WebBook, IUPAC, ChEBI
Reactions
C7DCCO3
+
NO
C7DCCO3
+
NO3
C7DCCO3
+
NO2
C7DCCO3
+
HO2
C7DCCO3
+
HO2
C7DCCO3
C7DCCO3
C7DCCO3
+
HO2
Precursors
C7DCCO3
+
HO2
C7DCCO3
C7DCCO3
+
HNO3
C7DCCO3
+
NO2
C7DCCO3
C7DCCO3
+
HO2
+
CO
C7DCCO2
C7DCPAN
C7DCCO3H
C7DCCO2H
PBZOBPEROH
GLYOX
C7DICARB
C8CO2DBAL