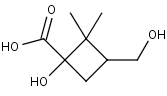
C812O2
Species information
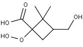
- Smiles: OCC1CC(O[O])(C(=O)O)C1(C)C
- InChI: InChI=1S/C8H13O5/c1-7(2)5(4-9)3-8(7,13-12)6(10)11/h5,9H,3-4H2,1-2H3,(H,10,11)
- Mass: 189.1858
- Synonyms:
- External links: Google, ChemSpider, PubChem, NIST WebBook, IUPAC, ChEBI
Reactions
C812O2
+
NO
C812O2
+
NO3
C812O2
+
HO2
C812O2
C812O2
C812O
C812OOH
C812OH
C811O