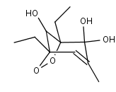
DEMPHOLO
Species information
- Smiles: CCC12OOC(CC)(C2O)C([O])(O)C(=C1)C
- InChI: InChI=1S/C11H17O5/c1-4-9-6-7(3)11(13,14)10(5-2,8(9)12)16-15-9/h6,8,12-13H,4-5H2,1-3H3
- Mass: 229.2497
- Synonyms:
- External links: Google, ChemSpider, PubChem, NIST WebBook, IUPAC, ChEBI
Reactions
Precursors
DEMPHOLO
+
NO2
DEMPHOLO
+
NO2
DEMPHOLO
DEMPHOLO
+
OH
DEMPHOLO
DEMPHOLO
+
OH
+
NO2
DEMPHOLO
+
HO2
+
NO2
C7DDCCO2H
EGLYOX
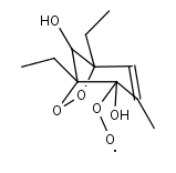
DEMPHOLO2
DEMPHOLOOH
DEMPHOLOH
NDEMPLOOH
NDEMPHOLOH