DMEPHOLO2
Species information
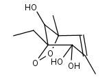
- Smiles: CCC12OOC(C)(C=C(C)C2(O)O[O])C1O
- InChI: InChI=1S/C10H15O6/c1-4-9-7(11)8(3,15-16-9)5-6(2)10(9,12)14-13/h5,7,11-12H,4H2,1-3H3
- Mass: 231.2225
- Synonyms:
- External links: Google, ChemSpider, PubChem, NIST WebBook, IUPAC, ChEBI
Reactions
DMEPHOLO2
+
NO
DMEPHOLO2
+
NO3
DMEPHOLO2
+
HO2
DMEPHOLO2
DMEPHOLO2
Precursors
DMEPHOLO2
DMEPHOLO2
DMEPHOLO
DMEPHOLOOH
DMEPHOLOH
DMEPHOH