DNCRESO
Species information
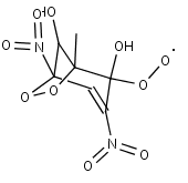
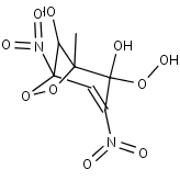
- Smiles: O=N(=O)C1=CC2(OOC(C)(C2O)C1([O])O)N(=O)=O
- InChI: InChI=1S/C7H7N2O9/c1-5-4(10)6(9(15)16,18-17-5)2-3(8(13)14)7(5,11)12/h2,4,10-11H,1H3
- Mass: 263.1385
- Synonyms:
- External links: Google, ChemSpider, PubChem, NIST WebBook, IUPAC, ChEBI
Reactions
Precursors
DNCRESO
+
NO2
DNCRESO
+
NO2
DNCRESO
DNCRESO
+
OH
NC4MDCO2H
HCOCO2H
DNCRESO2
DNCRESOOH