DNEBNZLO
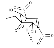
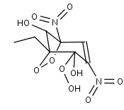
Species information
- Smiles: CCC12OOC(C=C(N(=O)=O)C2([O])O)(N(=O)=O)C1O
- InChI: InChI=1S/C8H9N2O9/c1-2-6-5(11)7(10(16)17,19-18-6)3-4(9(14)15)8(6,12)13/h3,5,11-12H,2H2,1H3
- Mass: 277.1651
- Synonyms:
- External links: Google, ChemSpider, PubChem, NIST WebBook, IUPAC, ChEBI
Reactions
Precursors
DNEBNZLO
+
NO2
DNEBNZLO
+
NO2
DNEBNZLO
DNEBNZLO
+
OH
NC4EDCO2H
HCOCO2H
DNEBNZLO2
DNEBNZLOOH