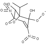
DNIPBNZLO
Species information
- Smiles: O=N(=O)C1=CC2(OOC(C(C)C)(C2O)C1([O])O)N(=O)=O
- InChI: InChI=1S/C9H11N2O9/c1-4(2)8-6(12)7(11(17)18,19-20-8)3-5(10(15)16)9(8,13)14/h3-4,6,12-13H,1-2H3
- Mass: 291.1916
- Synonyms:
- External links: Google, ChemSpider, PubChem, NIST WebBook, IUPAC, ChEBI
Reactions
Precursors
DNIPBNZLO
+
NO2
DNIPBNZLO
+
NO2
DNIPBNZLO
DNIPBNZLO
+
OH
NC4IPDCO2H
HCOCO2H
DNIPBNZLO2
DNIPBZLOOH