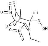
DNMETOLO
Species information
- Smiles: CCC1=C(N(=O)=O)C2(OOC(C)(C2O)C1([O])O)N(=O)=O
- InChI: InChI=1S/C9H11N2O9/c1-3-4-5(10(15)16)8(11(17)18)6(12)7(2,19-20-8)9(4,13)14/h6,12-13H,3H2,1-2H3
- Mass: 291.1916
- Synonyms:
- External links: Google, ChemSpider, PubChem, NIST WebBook, IUPAC, ChEBI
Reactions
Precursors
DNMETOLO
+
NO2
DNMETOLO
+
NO2
DNMETOLO
DNMETOLO
+
OH
NC4MDCO2H
ECOCO2H
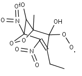
DNMETOLO2
DNMETOLOOH