DNOETOLO
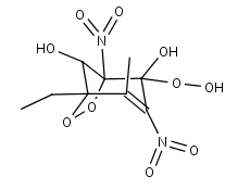
Species information
- Smiles: CCC12OOC(N(=O)=O)(C2O)C([O])(O)C(=C1C)N(=O)=O
- InChI: InChI=1S/C9H11N2O9/c1-3-7-4(2)5(10(15)16)9(13,14)8(6(7)12,11(17)18)20-19-7/h6,12-13H,3H2,1-2H3
- Mass: 291.1916
- Synonyms:
- External links: Google, ChemSpider, PubChem, NIST WebBook, IUPAC, ChEBI
Reactions
Precursors
DNOETOLO
+
NO2
DNOETOLO
+
NO2
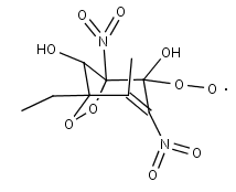
DNOETOLO
DNOETOLO
+
OH
NC4MDCO2H
ECOCO2H
DNOETOLO2
DNOETOLOOH