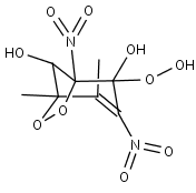
DNOXYOLO2
Species information
- Smiles: [O]OC1(O)C(=C(C)C2(C)OOC1(N(=O)=O)C2O)N(=O)=O
- InChI: InChI=1S/C8H9N2O10/c1-3-4(9(13)14)8(12,18-17)7(10(15)16)5(11)6(3,2)19-20-7/h5,11-12H,1-2H3
- Mass: 293.1645
- Synonyms:
- External links: Google, ChemSpider, PubChem, NIST WebBook, IUPAC, ChEBI
Reactions
DNOXYOLO2
+
NO
DNOXYOLO2
+
NO3
DNOXYOLO2
+
HO2
DNOXYOLO2
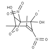
Precursors
DNOXYOLO2
DNOXYOLO2
DNOXYOLO
DNOXYOLOOH
DNOXYOL