INB1NBCHO
Species information
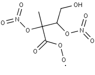
- Smiles: OCC(ON(=O)=O)C(C)(C=O)ON(=O)=O
- InChI: InChI=1S/C5H8N2O8/c1-5(3-9,15-7(12)13)4(2-8)14-6(10)11/h3-4,8H,2H2,1H3
- Mass: 224.1256
- Synonyms:
- External links: Google, ChemSpider, PubChem, NIST WebBook, IUPAC, ChEBI
Reactions
OH
+
INB1NBCHO
INB1NBCHO
INB1NBCO3
MVKNO3
INB1NO3