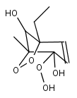
METOLO
Species information
- Smiles: CCC12C=CC([O])(O)C(C)(OO1)C2O
- InChI: InChI=1S/C9H13O5/c1-3-8-4-5-9(11,12)7(2,6(8)10)13-14-8/h4-6,10-11H,3H2,1-2H3
- Mass: 201.1965
- Synonyms:
- External links: Google, ChemSpider, PubChem, NIST WebBook, IUPAC, ChEBI
Reactions
METOLO
METOLO
Precursors
METOLO
+
NO2
METOLO
+
NO2
METOLO
METOLO
+
OH
METOLO
METOLO
+
OH
+
NO2
METOLO
+
HO2
+
NO2
METLQONE
C6DCRBBOH
MGLYOX
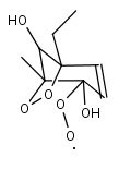
METOLO2
METOLOOH
METOLOH
NMETOLOOH
NMETOLOH