NBCALOH
Species information
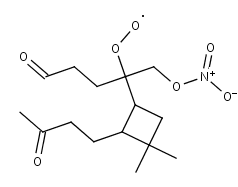
- Smiles: O=CCCC(O)(CO[N+](=O)[O-])C1CC(C)(C)C1CCC(=O)C
- InChI: InChI=1S/C15H25NO6/c1-11(18)5-6-12-13(9-14(12,2)3)15(19,7-4-8-17)10-22-16(20)21/h8,12-13,19H,4-7,9-10H2,1-3H3
- Mass: 315.3621
- Synonyms:
- External links: Google, ChemSpider, PubChem, NIST WebBook, IUPAC, ChEBI
NBCALOH
BCLKET
HCHO
NBCALO2