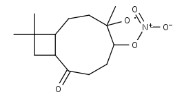
NBCKO2
Species information
- Smiles: [O]OC1(C)CCC2C(CC2(C)C)C(=O)CCC1O[N+](=O)[O-]
- InChI: InChI=1S/C14H22NO6/c1-13(2)8-9-10(13)6-7-14(3,21-19)12(20-15(17)18)5-4-11(9)16/h9-10,12H,4-8H2,1-3H3
- Mass: 300.3276
- Synonyms:
- External links: Google, ChemSpider, PubChem, NIST WebBook, IUPAC, ChEBI
Reactions
NBCKO2
+
NO
NBCKO2
+
NO3
NBCKO2
+
HO2
NBCKO2
NBCKO2
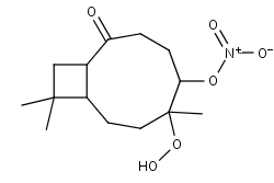
Precursors
NBCKO2
NBCKO2
NBCKO
NBCKOOH
BCKBNO3
BCKET