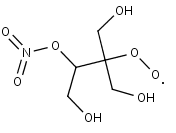
NC524O
Species information
- Smiles: OCC(ON(=O)=O)C([O])(CO)CO
- InChI: InChI=1S/C5H10NO7/c7-1-4(13-6(11)12)5(10,2-8)3-9/h4,7-9H,1-3H2
- Mass: 196.1354
- Synonyms:
- External links: Google, ChemSpider, PubChem, NIST WebBook, IUPAC, ChEBI
Reactions
NC524O
NC524O
Precursors
NC524O
+
NO2
NC524O
+
NO2
NC524O
NC524O
+
OH
HOCH2CHO
H13CO2C3
HMVKNO3
HCHO
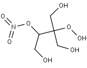
NC524O2
NC524OOH