NDMEPHOLO
Species information
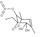
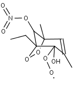
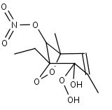
- Smiles: CCC12OOC(C)(C=C(C)C2(O)[O])C1ON(=O)=O
- InChI: InChI=1S/C10H14NO7/c1-4-9-7(16-11(14)15)8(3,17-18-9)5-6(2)10(9,12)13/h5,7,12H,4H2,1-3H3
- Mass: 260.2207
- Synonyms:
- External links: Google, ChemSpider, PubChem, NIST WebBook, IUPAC, ChEBI
Reactions
Precursors
NDMEPHOLO
+
NO2
NDMEPHOLO
+
NO2
NDMEPHOLO
NDMEPHOLO
+
OH
NDMEPHOLO
C5CODBCO2H
EGLYOX
NDMEPHOLO2
NDMEPLOOH
NDMEPHOLOH