NDNCRESO
Species information
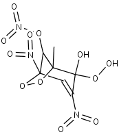
- Smiles: O=N(=O)OC1C2(OOC1(C)C([O])(O)C(=C2)N(=O)=O)N(=O)=O
- InChI: InChI=1S/C7H6N3O11/c1-5-4(19-10(17)18)6(9(15)16,21-20-5)2-3(8(13)14)7(5,11)12/h2,4,11H,1H3
- Mass: 308.136
- Synonyms:
- External links: Google, ChemSpider, PubChem, NIST WebBook, IUPAC, ChEBI
Reactions
Precursors
NDNCRESO
+
NO2
NDNCRESO
+
NO2
NDNCRESO
NDNCRESO
+
OH
NC4MDCO2H
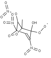
NDNCRESO2
NDNCRESOOH