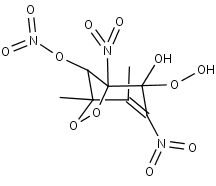
NDNOXYOLO2
Species information
- Smiles: [O]OC1(O)C(=C(C)C2(C)OOC1(N(=O)=O)C2ON(=O)=O)N(=O)=O
- InChI: InChI=1S/C8H8N3O12/c1-3-4(9(13)14)8(12,21-19)7(10(15)16)5(20-11(17)18)6(3,2)22-23-7/h5,12H,1-2H3
- Mass: 338.162
- Synonyms:
- External links: Google, ChemSpider, PubChem, NIST WebBook, IUPAC, ChEBI
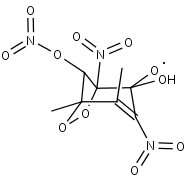
Reactions
NDNOXYOLO2
+
NO
NDNOXYOLO2
+
NO3
NDNOXYOLO2
+
HO2
NDNOXYOLO2
Precursors
NDNOXYOLO2
NDNOXYOLO2
NDNOXYOLO
NDNOXYLOOH
DNOXYOL