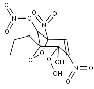
NDNPBNZLO2
Species information
- Smiles: CCCC12OOC(C=C(N(=O)=O)C2(O)O[O])(N(=O)=O)C1ON(=O)=O
- InChI: InChI=1S/C9H10N3O12/c1-2-3-7-6(21-12(18)19)8(11(16)17,24-23-7)4-5(10(14)15)9(7,13)22-20/h4,6,13H,2-3H2,1H3
- Mass: 352.1886
- Synonyms:
- External links: Google, ChemSpider, PubChem, NIST WebBook, IUPAC, ChEBI
Reactions
NDNPBNZLO2
+
NO
NDNPBNZLO2
+
NO3
NDNPBNZLO2
+
HO2
NDNPBNZLO2
Precursors
NDNPBNZLO2
NDNPBNZLO2
NDNPBNZLO
NDNPBZLOOH
DNPBNZOL