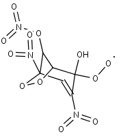
NDNPHENO
Species information
- Smiles: O=N(=O)OC1C2OOC1(C=C(N(=O)=O)C2([O])O)N(=O)=O
- InChI: InChI=1S/C6H4N3O11/c10-6(11)2(7(12)13)1-5(8(14)15)3(18-9(16)17)4(6)19-20-5/h1,3-4,10H
- Mass: 294.1095
- Synonyms:
- External links: Google, ChemSpider, PubChem, NIST WebBook, IUPAC, ChEBI
Reactions
Precursors
NDNPHENO
+
NO2
NDNPHENO
+
NO2
NDNPHENO
NDNPHENO
+
OH
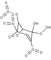
NC4DCO2H
NDNPHENO2
NDNPHENOOH