NMETOLO
Species information
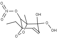
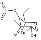
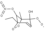
- Smiles: CCC12C=CC(O)([O])C(C)(OO1)C2ON(=O)=O
- InChI: InChI=1S/C9H12NO7/c1-3-8-4-5-9(11,12)7(2,16-17-8)6(8)15-10(13)14/h4-6,11H,3H2,1-2H3
- Mass: 246.1941
- Synonyms:
- External links: Google, ChemSpider, PubChem, NIST WebBook, IUPAC, ChEBI
Reactions
Precursors
NMETOLO
+
NO2
NMETOLO
+
NO2
NMETOLO
NMETOLO
+
OH
NMETOLO
C6DCRBBOH
MGLYOX
NMETOLO2
NMETOLOOH
NMETOLOH