NPBNZOLO
Species information
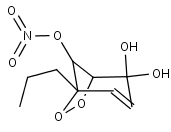
- Smiles: CCCC12OOC(C2ON(=O)=O)C(O)([O])C=C1
- InChI: InChI=1S/C9H12NO7/c1-2-3-8-4-5-9(11,12)7(16-17-8)6(8)15-10(13)14/h4-7,11H,2-3H2,1H3
- Mass: 246.1941
- Synonyms:
- External links: Google, ChemSpider, PubChem, NIST WebBook, IUPAC, ChEBI
Reactions
Precursors
NPBNZOLO
+
NO2
NPBNZOLO
+
NO2
NPBNZOLO
NPBNZOLO
+
OH
NPBNZOLO
C7DCCO2H
GLYOX
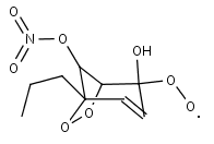
NPBNZOLO2
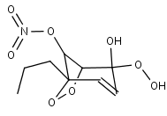
NPBNZOLOOH
NPBNZOLOH