NPXYOLO
Species information
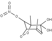
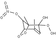
- Smiles: O=N(=O)OC1C2OOC1(C)C([O])(O)C=C2C
- InChI: InChI=1S/C8H10NO7/c1-4-3-8(10,11)7(2)6(14-9(12)13)5(4)15-16-7/h3,5-6,10H,1-2H3
- Mass: 232.1675
- Synonyms:
- External links: Google, ChemSpider, PubChem, NIST WebBook, IUPAC, ChEBI
Reactions
Precursors
NPXYOLO
+
NO2
NPXYOLO
+
NO2
NPXYOLO
NPXYOLO
+
OH
NPXYOLO
C3MCOCO2H
MGLYOX
NPXYOLO2
NPXYOLOOH
NPXYOLOH