NTM124OLO2
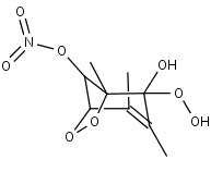
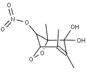
Species information
- Smiles: [O]OC1(O)C(=C(C)C2OOC1(C)C2ON(=O)=O)C
- InChI: InChI=1S/C9H12NO8/c1-4-5(2)9(11,17-14)8(3)7(15-10(12)13)6(4)16-18-8/h6-7,11H,1-3H3
- Mass: 262.1935
- Synonyms:
- External links: Google, ChemSpider, PubChem, NIST WebBook, IUPAC, ChEBI
Reactions
NTM124OLO2
+
NO
NTM124OLO2
+
NO3
NTM124OLO2
+
HO2
NTM124OLO2
NTM124OLO2
Precursors
NTM124OLO2
NTM124OLO2
NTM124OLO
NTM124LOOH
NTM124OLOH
TM124OL