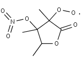
NTMB2FUO
Species information
- Smiles: O=N(=O)OC1(C)C(C)OC(=O)C1(C)[O]
- InChI: InChI=1S/C7H10NO6/c1-4-7(3,14-8(11)12)6(2,10)5(9)13-4/h4H,1-3H3
- Mass: 204.1574
- Synonyms:
- External links: Google, ChemSpider, PubChem, NIST WebBook, IUPAC, ChEBI
Reactions
Precursors
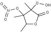
NTMB2FUO
+
NO2
NTMB2FUO
+
NO2
NTMB2FUO
NTMB2FUO
+
OH
MC6OTRIKET
NTMB2FUO2
NTMB2FUOOH