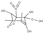
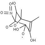
OXNCATECO2
Species information
- Smiles: [O]OC1(O)C(=C(C)C2(C)OOC1(N(=O)=O)C2O)O
- InChI: InChI=1S/C8H10NO9/c1-3-4(10)8(12,16-15)7(9(13)14)5(11)6(3,2)17-18-7/h5,10-12H,1-2H3
- Mass: 264.1663
- Synonyms:
- External links: Google, ChemSpider, PubChem, NIST WebBook, IUPAC, ChEBI
Reactions
OXNCATECO2
+
NO
OXNCATECO2
+
NO3
OXNCATECO2
+
HO2
OXNCATECO2
Precursors
OXNCATECO2
OXNCATECO2
OXNCATECO
OXNCATCOOH
OXNCATECH