OXNNCATCO2
Species information
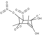
- Smiles: [O]OC1(O)C(=C(C)C2(C)OOC1(N(=O)=O)C2ON(=O)=O)O
- InChI: InChI=1S/C8H9N2O11/c1-3-4(11)8(12,19-17)7(9(13)14)5(18-10(15)16)6(3,2)20-21-7/h5,11-12H,1-2H3
- Mass: 309.1639
- Synonyms:
- External links: Google, ChemSpider, PubChem, NIST WebBook, IUPAC, ChEBI
Reactions
OXNNCATCO2
+
NO
OXNNCATCO2
+
NO3
OXNNCATCO2
+
HO2
OXNNCATCO2
Precursors
OXNNCATCO2
OXNNCATCO2
OXNNCATCO
OXNNCATOOH
OXNCATECH