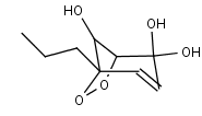
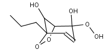
PBENZOLO
Species information
- Smiles: CCCC12OOC(C2O)C([O])(O)C=C1
- InChI: InChI=1S/C9H13O5/c1-2-3-8-4-5-9(11,12)7(6(8)10)13-14-8/h4-7,10-11H,2-3H2,1H3
- Mass: 201.1965
- Synonyms:
- External links: Google, ChemSpider, PubChem, NIST WebBook, IUPAC, ChEBI
Reactions
PBENZOLO
PBENZOLO
Precursors
PBENZOLO
+
NO2
PBENZOLO
+
NO2
PBENZOLO
PBENZOLO
+
OH
PBENZOLO
PBENZOLO
+
OH
+
NO2
PBENZOLO
+
HO2
+
NO2
PPRBQONE
C7DCCO2H
GLYOX
PBENZOLO2
PBENZOLOOH
PBENZOLOH
NPBNZOLOOH
NPBNZOLOH