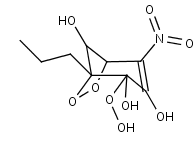
PNCATECO2
Species information
- Smiles: CCCC12OOC(C(=C(O)C2(O)O[O])N(=O)=O)C1O
- InChI: InChI=1S/C9H12NO9/c1-2-3-8-7(12)5(17-19-8)4(10(14)15)6(11)9(8,13)18-16/h5,7,11-13H,2-3H2,1H3
- Mass: 278.1929
- Synonyms:
- External links: Google, ChemSpider, PubChem, NIST WebBook, IUPAC, ChEBI
Reactions
PNCATECO2
+
NO
PNCATECO2
+
NO3
PNCATECO2
+
HO2
PNCATECO2
Precursors
PNCATECO2
PNCATECO2
PNCATECO
PNCATECOOH
PNCATECH