PNNCATECO
Species information
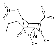
- Smiles: CCCC12OOC(C(=C(O)C2([O])O)N(=O)=O)C1ON(=O)=O
- InChI: InChI=1S/C9H11N2O10/c1-2-3-8-7(19-11(17)18)5(20-21-8)4(10(15)16)6(12)9(8,13)14/h5,7,12-13H,2-3H2,1H3
- Mass: 307.191
- Synonyms:
- External links: Google, ChemSpider, PubChem, NIST WebBook, IUPAC, ChEBI
Reactions
Precursors
PNNCATECO
+
NO2
PNNCATECO
+
NO2
PNNCATECO
PNNCATECO
+
OH
NC4PDCO2H
HCOCO2H
PNNCATECO2
PNNCATCOOH