PTNCATECO
Species information
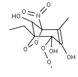
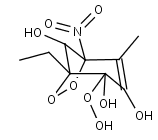
- Smiles: CCC12OOC(N(=O)=O)(C(=C(O)C2([O])O)C)C1O
- InChI: InChI=1S/C9H12NO8/c1-3-7-6(12)8(10(15)16,18-17-7)4(2)5(11)9(7,13)14/h6,11-13H,3H2,1-2H3
- Mass: 262.1935
- Synonyms:
- External links: Google, ChemSpider, PubChem, NIST WebBook, IUPAC, ChEBI
Reactions
Precursors
PTNCATECO
+
NO2
PTNCATECO
+
NO2
PTNCATECO
PTNCATECO
+
OH
NC4MDCO2H
ECOCO2H
PTNCATECO2
PTNCATCOOH