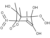
T124NCATO2
Species information
- Smiles: [O]OC1(O)C(=C(C)C2(OOC1(C)C2(C)O)N(=O)=O)O
- InChI: InChI=1S/C9H12NO9/c1-4-5(11)9(13,17-16)7(3)6(2,12)8(4,10(14)15)19-18-7/h11-13H,1-3H3
- Mass: 278.1929
- Synonyms:
- External links: Google, ChemSpider, PubChem, NIST WebBook, IUPAC, ChEBI
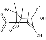
Reactions
T124NCATO2
+
NO
T124NCATO2
+
NO3
T124NCATO2
+
HO2
T124NCATO2
Precursors
T124NCATO2
T124NCATO2
T124NCATO
T124NCTOOH
T124NCATEC