TM124BPRO2
Species information
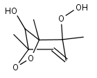
- Smiles: [O]OC1(C)C=CC2(C)OOC1(C)C2O
- InChI: InChI=1S/C9H13O5/c1-7-4-5-8(2,12-11)9(3,6(7)10)14-13-7/h4-6,10H,1-3H3
- Mass: 201.1965
- Synonyms:
- External links: Google, ChemSpider, PubChem, NIST WebBook, IUPAC, ChEBI
Reactions
TM124BPRO2
+
NO
TM124BPRO2
+
NO
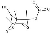
TM124BPRO2
+
NO3
TM124BPRO2
+
HO2
TM124BPRO2
TM124BPRO2
Precursors
TM124BPRO2
TM124BPRO2
TM124BPRO
TM124BPNO3
TM124BPOOH
TM124BP2OH
TM124B