TM124OLO2
Species information
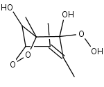
- Smiles: [O]OC1(O)C(=C(C)C2OOC1(C)C2O)C
- InChI: InChI=1S/C9H13O6/c1-4-5(2)9(11,14-12)8(3)7(10)6(4)13-15-8/h6-7,10-11H,1-3H3
- Mass: 217.1959
- Synonyms:
- External links: Google, ChemSpider, PubChem, NIST WebBook, IUPAC, ChEBI
Reactions
TM124OLO2
+
NO
TM124OLO2
+
NO3
TM124OLO2
+
HO2
TM124OLO2
TM124OLO2
Precursors
TM124OLO2
TM124OLO2
+
HNO3
TM124OLO2
TM124OLO
TM124OLOOH
TM124OLOH
TM124OL