DNMXYOLO
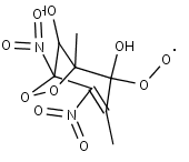
Species information
- Smiles: O=N(=O)C1=C(C)C([O])(O)C2(C)OOC1(N(=O)=O)C2O
- InChI: InChI=1S/C8H9N2O9/c1-3-4(9(14)15)7(10(16)17)5(11)6(2,18-19-7)8(3,12)13/h5,11-12H,1-2H3
- Mass: 277.1651
- Synonyms:
- External links: Google, ChemSpider, PubChem, NIST WebBook, IUPAC, ChEBI
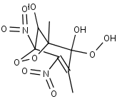
Reactions
Precursors
DNMXYOLO
+
NO2
DNMXYOLO
+
NO2
DNMXYOLO
DNMXYOLO
+
OH
NC4MDCO2H
CH3COCO2H
DNMXYOLO2
DNMXYOLOOH