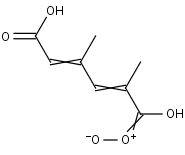
CH3COCO2H
Species information
- Smiles: OC(=O)C(=O)C
- InChI: InChI=1S/C3H4O3/c1-2(4)3(5)6/h1H3,(H,5,6)
- Mass: 88.0621
- Synonyms: Pyruvic acid; 127-17-3; 2-Oxopropanoic acid; .alpha.-Ketopropionic acid; acetylformic acid
- External links: Google, ChemSpider, PubChem, NIST WebBook, IUPAC, ChEBI
Reactions
CH3COCO2H
OH
+
CH3COCO2H
Precursors
CH3COCO2H
CH3COCO2H
+
HO2
+
CO
+
HO2
+
CO
CH3COCO2H
+
HO2
+
CO
+
HO2
+
CO
CO
+
HO2
+
NO2
+
CH3COCO2H
CH3CO3
MGLOO
MC3ODBCO2H
MXNCATECO
NC4MDCO2H
MXNNCATCO
MXCATECOOA
C3MCOCO2H
DNMXYOLO
NDNMXYOLO
C5CODBCO2H
PXNCATECO
PXNNCATCO
PXCATECOOA
DNPXYOLO
NDNPXYOLO
OXNCATECO
OXNNCATCO
OXCATECOOA
C5CO14OH
DNOXYOLO
NDNOXYOLO
C3M2COCO2H
T124NCATO
NC5MDCO2H
T124NNCTO
T124CTCOOA
DNT124LO
NDNT124LO
T123NCATO
T123NNCTO
T123CTCOOA
C5DBCOCO2H
DNT123LO
NDNT123LO
C7DDCCO2H
INANCOCO2H
NO3CH2CO3
CONM2CO2H
MMALNBCO2H
GLYOX