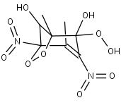
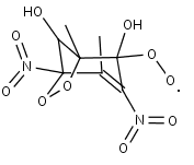
DNPXYOLO
Species information
- Smiles: O=N(=O)C1=C(C)C2(OOC(C)(C2O)C1([O])O)N(=O)=O
- InChI: InChI=1S/C8H9N2O9/c1-3-4(9(14)15)8(12,13)6(2)5(11)7(3,10(16)17)19-18-6/h5,11-12H,1-2H3
- Mass: 277.1651
- Synonyms:
- External links: Google, ChemSpider, PubChem, NIST WebBook, IUPAC, ChEBI
Reactions
Precursors
DNPXYOLO
+
NO2
DNPXYOLO
+
NO2
DNPXYOLO
DNPXYOLO
+
OH
NC4MDCO2H
CH3COCO2H
DNPXYOLO2
DNPXYOLOOH