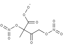
INANCOCO2H
Species information
- Smiles: O=N(=O)OCC(=O)C(C)(ON(=O)=O)C(=O)O
- InChI: InChI=1S/C5H6N2O9/c1-5(4(9)10,16-7(13)14)3(8)2-15-6(11)12/h2H2,1H3,(H,9,10)
- Mass: 238.1091
- Synonyms:
- External links: Google, ChemSpider, PubChem, NIST WebBook, IUPAC, ChEBI
Reactions
OH
+
INANCOCO2H
INANCOCO2H
Precursors
INANCOCO2H
+
O3
INANCOCO2H
CO23C4NO3
NO3CH2CO3
CH3COCO2H
INANCOCO3