MXNNCATCO
Species information
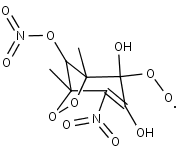
- Smiles: O=N(=O)OC1C2(C)OOC1(C)C([O])(O)C(=C2N(=O)=O)O
- InChI: InChI=1S/C8H9N2O10/c1-6-3(9(14)15)4(11)8(12,13)7(2,20-19-6)5(6)18-10(16)17/h5,11-12H,1-2H3
- Mass: 293.1645
- Synonyms:
- External links: Google, ChemSpider, PubChem, NIST WebBook, IUPAC, ChEBI
Reactions
Precursors
MXNNCATCO
+
NO2
MXNNCATCO
+
NO2
MXNNCATCO
MXNNCATCO
+
OH
NC4MDCO2H
CH3COCO2H
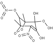
MXNNCATCO2
MXNNCATOOH