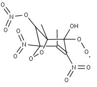
NDNPXYOLO
Species information
- Smiles: O=N(=O)OC1C2(OOC1(C)C([O])(O)C(=C2C)N(=O)=O)N(=O)=O
- InChI: InChI=1S/C8H8N3O11/c1-3-4(9(14)15)8(12,13)6(2)5(20-11(18)19)7(3,10(16)17)22-21-6/h5,12H,1-2H3
- Mass: 322.1626
- Synonyms:
- External links: Google, ChemSpider, PubChem, NIST WebBook, IUPAC, ChEBI
Reactions
Precursors
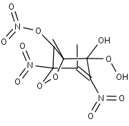
NDNPXYOLO
+
NO2
NDNPXYOLO
+
NO2
NDNPXYOLO
NDNPXYOLO
+
OH
NC4MDCO2H
CH3COCO2H
NDNPXYOLO2
NDNPXYLOOH