NPETOLOH
Species information
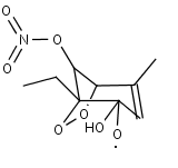
- Smiles: CCC12OOC(C(=CC2(O)O)C)C1ON(=O)=O
- InChI: InChI=1S/C9H13NO7/c1-3-8-7(15-10(13)14)6(16-17-8)5(2)4-9(8,11)12/h4,6-7,11-12H,3H2,1-2H3
- Mass: 247.202
- Synonyms:
- External links: Google, ChemSpider, PubChem, NIST WebBook, IUPAC, ChEBI
Reactions
NPETOLOH
+
OH
NPETOLOH
NPETOLO
PETOLO
NPETOLO2