PETOLO
Species information
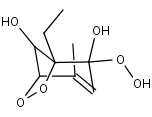
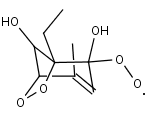
- Smiles: CCC12OOC(C(=CC2([O])O)C)C1O
- InChI: InChI=1S/C9H13O5/c1-3-8-7(10)6(13-14-8)5(2)4-9(8,11)12/h4,6-7,10-11H,3H2,1-2H3
- Mass: 201.1965
- Synonyms:
- External links: Google, ChemSpider, PubChem, NIST WebBook, IUPAC, ChEBI
Reactions
PETOLO
PETOLO
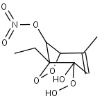
Precursors
PETOLO
+
NO2
PETOLO
+
NO2
PETOLO
PETOLO
+
OH
PETOLO
PETOLO
+
OH
+
NO2
PETOLO
+
HO2
+
NO2
PETLQONE
C3MCOCO2H
EGLYOX
PETOLO2
PETOLOOH
PETOLOH
NPETOLOOH
NPETOLOH