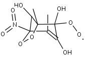
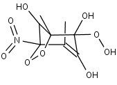
PXNCATECO
Species information
- Smiles: O=N(=O)C12OOC(C)(C2O)C([O])(O)C(=C1C)O
- InChI: InChI=1S/C8H10NO8/c1-3-4(10)8(12,13)6(2)5(11)7(3,9(14)15)17-16-6/h5,10-12H,1-2H3
- Mass: 248.1669
- Synonyms:
- External links: Google, ChemSpider, PubChem, NIST WebBook, IUPAC, ChEBI
Reactions
Precursors
PXNCATECO
+
NO2
PXNCATECO
+
NO2
PXNCATECO
PXNCATECO
+
OH
NC4MDCO2H
CH3COCO2H
PXNCATECO2
PXNCATCOOH