DNT124LO
Species information
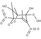
- Smiles: O=N(=O)C1=C(C)C2(OOC(C)(C1([O])O)C2(C)O)N(=O)=O
- InChI: InChI=1S/C9H11N2O9/c1-4-5(10(15)16)9(13,14)7(3)6(2,12)8(4,11(17)18)20-19-7/h12-13H,1-3H3
- Mass: 291.1916
- Synonyms:
- External links: Google, ChemSpider, PubChem, NIST WebBook, IUPAC, ChEBI
Reactions
Precursors
DNT124LO
+
NO2
DNT124LO
+
NO2
DNT124LO
DNT124LO
+
OH
NC5MDCO2H
CH3COCO2H
DNT124LO2
DNT124LOOH