MCM (v3.3.1)
Home
Browse
Export
About
AtChemOnline Tutorial
Construction Method
Useful links
Cite
Contributors
Funding
Previous versions
Select Mechanism (MCM, CRI)
MCM (v3.3.1)
CRI (v2.2)
Advanced Search
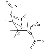
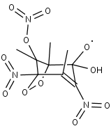
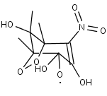
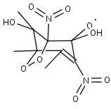
NC5MDCO2H
Add to marklist
Species information
Smiles: OC(=O)C(=C(C(=O)C)N(=O)=O)C
InChI: InChI=1S/C6H7NO5/c1-3(6(9)10)5(4(2)8)7(11)12/h1-2H3,(H,9,10)
Mass: 173.1235
Synonyms:
External links:
Google
,
ChemSpider
,
PubChem
,
NIST WebBook
,
IUPAC
,
ChEBI
Reactions
NC5MDCO2H
+
OH
\(\ce{->[1.90\times10^{-12}*\exp({\frac{190}{{T}}})]}\)
CO
+
NO2
+
BIACET
Doc
Precursors
Show precursor reactions
T124NCATO
\(\ce{->[{KDEC}]}\)
NC5MDCO2H
+
CH3COCO2H
+
HO2
Doc
T124NNCTO
\(\ce{->[{KDEC}]}\)
NC5MDCO2H
+
CH3COCO2H
+
NO2
Doc
DNT124LO
\(\ce{->[{KDEC}]}\)
NC5MDCO2H
+
CH3COCO2H
+
NO2
Doc
NDNT124LO
\(\ce{->[{KDEC}]}\)
NC5MDCO2H
+
CH3COCO2H
+
NO2
+
HNO3
Doc
T123NCATO
\(\ce{->[{KDEC}]}\)
NC5MDCO2H
+
CH3COCO2H
+
HO2
Doc
T123NNCTO
\(\ce{->[{KDEC}]}\)
NC5MDCO2H
+
CH3COCO2H
+
NO2
Doc
DNT123LO
\(\ce{->[{KDEC}]}\)
NC5MDCO2H
+
CH3COCO2H
+
NO2
Doc
NDNT123LO
\(\ce{->[{KDEC}]}\)
NC5MDCO2H
+
CH3COCO2H
+
NO2
+
HNO3
Doc
Marklist
Clear
Export