NDNT123LO
Species information
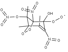
- Smiles: O=N(=O)OC1(C)C2(C)OOC1(N(=O)=O)C([O])(O)C(=C2C)N(=O)=O
- InChI: InChI=1S/C9H10N3O11/c1-4-5(10(15)16)8(13,14)9(11(17)18)7(3,21-12(19)20)6(4,2)22-23-9/h13H,1-3H3
- Mass: 336.1892
- Synonyms:
- External links: Google, ChemSpider, PubChem, NIST WebBook, IUPAC, ChEBI
Reactions
Precursors
NDNT123LO
+
NO2
NDNT123LO
+
NO2
NDNT123LO
NDNT123LO
+
OH
NC5MDCO2H
CH3COCO2H
NDNT123LO2
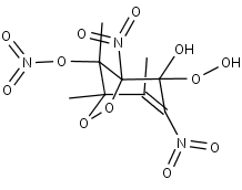
NDNT123OOH