T123NNCTO
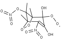
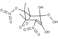
Species information
- Smiles: O=N(=O)OC1(C)C2(C)OOC1(C)C([O])(O)C(=C2N(=O)=O)O
- InChI: InChI=1S/C9H11N2O10/c1-6-4(10(15)16)5(12)9(13,14)8(3,21-20-6)7(6,2)19-11(17)18/h12-13H,1-3H3
- Mass: 307.191
- Synonyms:
- External links: Google, ChemSpider, PubChem, NIST WebBook, IUPAC, ChEBI
Reactions
Precursors
T123NNCTO
+
NO2
T123NNCTO
+
NO2
T123NNCTO
T123NNCTO
+
OH
NC5MDCO2H
CH3COCO2H
T123NNCTO2
T123NNCOOH